高一数学指数函数视频,高一数学视频课程概览

亲爱的读者们,你是否曾在高一的数学课上,对那些神秘的指数函数感到困惑不已?别担心,今天我要带你走进一个充满奥秘的世界——高一数学指数函数视频,让你轻松掌握这个难题!一、指数函数的起源与魅力指数函数,这...

亲爱的读者们,你是否曾在高一的数学课上,对那些神秘的指数函数感到困惑不已?别担心,今天我要带你走进一个充满奥秘的世界——高一数学指数函数视频,让你轻松掌握这个难题!

一、指数函数的起源与魅力

指数函数,这个看似高深莫测的数学概念,其实源于我们的生活。从古代的算术到现代的计算机科学,指数函数无处不在。它以简洁的形式,揭示了事物增长、衰减的规律,具有极高的实用价值。

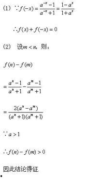
二、指数函数的定义与性质

指数函数的定义是这样的:对于任意实数a(a≠0)和实数x,a的x次幂(记作a^x)称为指数函数。其中,a称为底数,x称为指数。

指数函数具有以下性质:

1. 单调性:当底数a>1时,指数函数在实数范围内单调递增;当0

2. 有界性:指数函数在实数范围内有界,即存在实数M和m,使得m≤a^x≤M。

3. 连续性:指数函数在实数范围内连续。

4. 奇偶性:当底数a>0且a≠1时,指数函数为非奇非偶函数。

三、指数函数的应用

指数函数在现实生活中有着广泛的应用,以下列举几个例子:

1. 经济领域:指数函数可以用来描述经济增长、人口增长等。

2. 生物学领域:指数函数可以用来描述细菌繁殖、生物种群增长等。

3. 物理学领域:指数函数可以用来描述放射性衰变、热力学过程等。

4. 计算机科学领域:指数函数在计算机科学中有着重要的应用,如密码学、算法分析等。

四、高一数学指数函数视频推荐

为了帮助你更好地理解指数函数,以下推荐几个高一数学指数函数视频:

1. 《指数函数的定义与性质》

2. 《指数函数的应用实例》

3. 《指数函数与对数函数的关系》

4. 《指数函数的图像与性质》

5. 《指数函数在实际问题中的应用》

这些视频内容丰富,讲解生动,相信能让你对指数函数有更深入的了解。

五、

指数函数是高中数学中一个重要的知识点,掌握它对于你的数学学习具有重要意义。通过本文的介绍,相信你已经对指数函数有了初步的认识。希望你在今后的学习中,能够运用所学知识,解决实际问题,让数学成为你生活中的得力助手。

祝愿大家在数学学习的道路上越走越远,取得优异的成绩!

上一篇:联通wo视频,创新互动体验,开启智慧生活新篇章
下一篇:安卓视频加速器,畅享流畅观影体验的秘密武器

为您推荐